涡轮叶片是航空发动机中*为重要的部件之一。叶片长期在高温、高压下和高速的环境下工作,承受较高的离心载荷、气动载荷和高频的振动应力,同时还要承受高温燃气引起的热应力和氧化腐蚀等[1-2]。苛刻的服役条件导致叶片容易出现损伤,严重的情况下,会造成航空事故。
涡轮叶片在复杂环境服役下将不可避免的产生不同程度组织损伤,其中以γ′相的退化为主的损伤尤为重要。作为合金中的主要强化相,γ′相的退化将严重降低合金的高温性能,弱化叶片的承载能力。此外,在高温服役中,极易发生MC碳化物的分解、氧化损伤和涂层破坏等一系列损伤[1-2, 5]。近年来,国内外对涡轮叶片开展了一些研究,其中冯强等[5]总结了涡轮叶片的主要组织损伤形式,并且研究了组织损伤与性能退化之间的关系,指出两者之间定量化研究的思路。Jahangiri等[6]研究了长期服役涡轮叶片微观组织的退化及力学性能的衰减现象,提出析出相的演变是导致合金力学性能下降的主要原因。范永升等[7]研究了涡轮叶片微观组织在高温疲劳实验下的退化现象,建立了基于数字图像的γ′相阀化程度的表征方法。目前,国内对于涡轮叶片的服役损伤研究尚不够深入,服役损伤机理掌握不充分,缺少对叶片剩余寿命测试及表征手段的分析技术。随着航空工业的发展,工程化水平及仿真技术的提高,对涡轮叶片组织演变和损伤机理的研究更加迫切。
本工作以实际服役后的定向凝固合金涡轮叶片为研究对象,对涡轮叶片在服役过程中形成的组织演变及损伤类型进行分析、总结。定量分析γ′相的退化程度,并结合叶片各部位的硬度测试性能,表征涡轮叶片的微观组织演变程度,希望能够对涡轮叶片的制造、运行和维修有所帮助。
1. 实验材料及方法
1.1 实验材料
选取某型飞机发动机服役态涡轮叶片,其叶片材料为DZ22定向凝固镍基高温合金,化学成分如表1所示。一般认为服役后叶片的上端位置损伤较为严重[8],因此本实验截取叶身上部80%高度横截面作为研究对象。图1为该叶片外形示意图及截取部位横截面示意图。截取部位所在叶片高度如图1(a)所示,因为叶片在实际服役过程中不同部位的工况不同,因此将叶片分为六个典型部位进行组织特征分析,标记如图1(b)所示。其中1号为叶片前缘,2号为叶背部位,3号和4号为中间肋部位,5号为叶盆部位,6号为叶片尾缘部位。
图1 涡轮叶片取样示意图 (a)叶身;(b)横截面
将切割后的试样研磨,抛光后,用HCl∶CuSO4∶H2O=5 mL∶2 g∶23.5 mL溶液浸蚀5~10 s,吹干。利用SUPRA 55型场发射扫描电镜,使用二次电子(secondary electron,SE)成像模式及EDS光谱仪功能对六个典型特征位置的组织及叶片涂层进行观察分析。使用图像分析软件(Image Pro Plus)对强化相γ'相的周长和面积进行统计,计算γ'相的等效直径。采用MX1000型显微硬度仪进行硬度测试,加载载荷为1000 g,保载时间为15 s。为消除误差,每个部位选择5个测试点进行测量,取其平均值作为该部位硬度值。
2. 结果与讨论
2.1 服役后组织演变
2.1.1 γ′相演变及分析
在镍基高温合金中,γ′相作为*主要的强化相,是一种以Ni3Al 为基的金属间化合物。γ′相在γ基体中以立方体形态均匀分布,γ′相的形貌和尺寸是影响镍基高温合金力学性能的关键因素之一[9]。
在涡轮叶片经过实际高温服役后,γ′相存在不同类型的形貌特征。其中一类γ′相尺寸较小,形状较为规则,分布较为均匀。第二类γ′相为尺寸较大,呈毛刺状,形状不规则且分布不均匀。图2为叶片横截面各个位置的*类典型γ′相形貌。叶片的2号、3号、4号和5号位置的γ′相形状较为规则、球化程度低且尺寸较为均匀。叶片上端1号位置和6号位置,γ′相粒子呈现明显的球化形貌。同时,6号位置在尾缘区域的γ′相粒子出现边角钝化,相邻粒子间的通道消失,发生γ′相粒子连接,说明前缘和尾缘部位的γ′相退化较为严重。该现象推测是由叶身这两个部位在实际服役中所受环境*为苛刻所导致的[10]。

图2 叶片顶部横截面部分典型部位γ′相形貌(a)1号部位;(b)2号部位;(c)3号部位;(d)4号部位;(e)5号部位;(f)6号部位
在叶身80%高度截面的所有部位中,均观察到第二类尺寸较大、形状不规则且呈现毛刺状的大型γ′相, 图3为各个典型部位的毛刺状γ′相。从已发表的研究来推测,出现这种现象的原因有两种:(1)在镍基高温合金铸造过程中由于凝固顺序不同,γ基体首先析出。随着冷却过程的进行,合金元素在基体中过饱和析出,枝晶间和γ/γ′共晶组织周围容易出现毛刺状γ′相[11];(2)在高温服役过程中,叶片受到热应力及机械应力,导致组织退化,γ′相体积上升、形貌规则程度下降,形成大型不规则γ′相[12]。

图3 叶片顶部横截面典型部位毛刺状γ'相形貌(a)1号部位;(b)2号部位;(c)3号部位;(d)4号部位;(e)5号部位;(f)6号部位
对γ′相进行定量分析,立方态的γ′相使用边长一半表征其尺寸,对于筏型γ′粒子,使用(a1×a2)1/2/2来表征其尺寸,a1、a2表示筏型γ′相粒子的长轴和短轴[13]。本研究γ′相粒子形状不规则,使用等效直径表征γ′相粒子尺寸[14]。通过对试样每个部位各取三个视场,使用图像分析软件获得各部位γ′相粒子的等效直径分布。图4(a)~(f)显示部分典型部位的γ′相粒子分布。图4显示各部位的γ′相粒子尺寸大多集中在100~300 nm区间内,但γ′相粒子尺寸分布并不均匀。图4(a)和图4(f)表明,叶片前缘和尾缘既有尺寸小于100 nm的γ′相粒子,又有尺寸在1000 nm的γ′相粒子,尺寸之间差异较大。在对γ′相粒子的等效直径分布统计时,使用标准差来分析γ′相粒子的尺寸分布离散程度。其中,前缘1号部位的γ′相粒子标准差为102 nm,叶背2号部位的γ′相粒子标准差为113 nm,中间肋3号部位和4号部位γ′相粒子标准差分别为62 nm和66 nm,叶盆部位5号γ′相粒子标准差为85 nm,6号部位的γ′相粒子尺寸标准差为109 nm。上述六个部位中,前缘1号、尾缘6号及叶背处2号部位γ′相粒子标准差高于其他部位的标准差,代表了这三个部位的γ′相粒子等效直径分布离散程度更高,尺寸不均匀程度较大。通常,在镍基高温合金中,γ′相粒子尺寸均匀分布有利于合金高温性能,强化相尺寸的不均匀则对其产生不利影响[9, 15]。

图4 叶片顶部横截面典型部位γ'相分布(a)1号部位;(b)2号部位;(c)3号部位;(d)4号部位;(e)5号部位;(f)6号部位
2.1.2 显微硬度测试
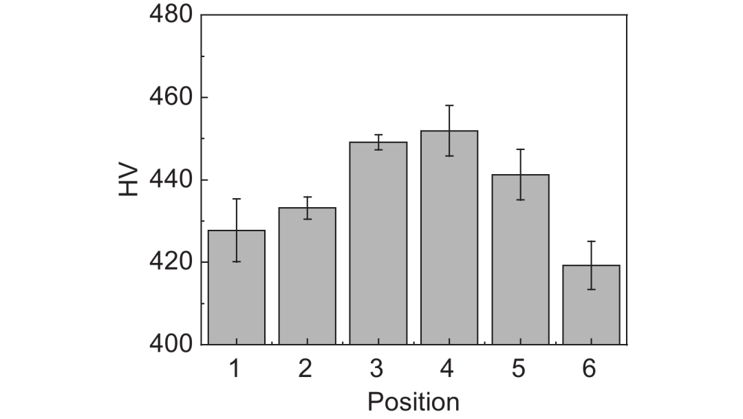
镍基高温合金的硬度能够反映出γ′相的退化程度,合金的硬度下降与强化相的损伤间具有正相关关系[13, 16]。图5列出了叶身80%高度各部位的显微硬度,图5中的1~6点分别对应图1叶身截面中的1~6点。可见,1号部位、2号部位和6号部位的显微硬度低于其他部位,分别对应叶片的前缘、叶背凸起处和尾缘部位,与前文叙述的γ′相分析结果吻合。合金的硬化程度与 γ′相数量和适宜的尺寸密切相关[17]。上一节分析中,前缘、尾缘和叶背处γ′相尺寸分布离散程度较高,强化相个体间尺寸不均匀程度较大,组织损伤较为严重,导致硬度相对较低。

图 5 叶片横截面各部位显微硬度
综合强化相定量分析和力学性能测试,叶片前缘1号部位、叶背凸起处2号部位和尾缘6号部位,微观组织退化程度较为严重。其中,γ′相退化*为严重的部位是尾缘部位和前缘部位,两个部位γ′相粒子都出现球化现象、尺寸分布不均匀且显微硬度值相对较低。说明前缘和尾缘在叶片服役中有着较为恶劣的服役条件,这点与Sujata和Dye的研究基本吻合[10, 18], 3号部位和4号部位处在叶片的不同中间肋上。在这两个部位的对比中,未观察到微观组织退化程度的明显差异。而在叶盆和叶背的对比中,位于叶背凸起处的2号部位组织退化程度较为严重,是由该处服役过程中受到较高的应力所导致。
2.2 服役后其他组织损伤
2.2.1 前缘裂纹
在前缘1号部位附近观察的裂纹如图6所示。图6(a)所示裂纹存在于前缘冷却孔内。叶身表面的冷却孔破坏了基体材料的完整性,附近不可避免的产生应力集中,容易导致产生裂纹[19]。图6(b)所示裂纹存在于前缘内壁,穿过γ' /γ共晶组织,垂直于叶高方向。出现这种现象原因有两种,其一,前缘在镍基高温合金叶片铸造过程的凝固末期,热应力较大且存在低熔点液相,在截面拐角位置,温度梯度大、凝固速率慢,导致产生裂纹[20]。其二,叶片前缘所受服役条件苛刻,造成基体出现裂纹[10,21]。关注公众号: 两机动力先行,*获取海量两机设计资料,聚焦两机知识和关键技术!

图6 叶片前缘部位裂纹(a)冷却孔内裂纹;(b)前缘内壁裂纹
2.2.2 涂层损伤
涂层作为具有隔热作用的防护层,主要用于涡轮叶片的表面,降低热端部件表面温度,起到对合金基体的保护作用[22]。图7为涡轮叶片涂层服役后各类损伤,图7(a)为叶片前缘1号部位涂层结构。涂层主要结构为表层的保护层和内层的黏结层,可明显观察到黏结层和保护层之间断续存在一定的微裂纹。涂层的损伤也是叶片在高温服役下的一种微观组织损伤形式[6]。

图7 叶片涂层损伤(a)前缘部位涂层;(b)涂层表面裂纹;(c)涂层界面裂纹;(d)涂层下氧化损伤
前缘1号位置附近存在的开裂如图7(b)所示,在前缘边缘处发生开裂,裂纹由涂层的外层延伸至基体。由于涂层系统各层材料属性差异较大,叶片前缘受到较高的服役温度,在热载荷作用下造成产生失配应力 [6, 10]。在冷却过程中,外层中又会产生很大的拉应力,导致外层产生裂纹并垂直向下扩展[23]。
叶片2号部位存在的涂层损伤如图7(c)所示。可明显观察到涂层中的黏结层与外层之间产生界面裂纹,保护层出现脱落趋势。在高温服役中,黏结层表面热生长氧化物的生长,导致其附近外层局部的应力迅速增大,容易使外层脱落[22,24]。同时,该部位在服役过程中受到较高的综合应力[18],保护层与金属基体间热膨胀失配,基体产生不协调变形,造成外层与内层界面间裂纹萌生、扩展,*终导致保护层脱落。
在图7(d)中,基体靠近涂层处观察到了位于基体的氧化产物。对图7(d)A处,进行EDS能谱分析,结果如表2所示。黑色区域含有较高Cr元素、Al元素和O元素,推测其为Cr、Al的氧化物。在实际服役中,燃气燃烧产生的高温气体导致涡轮叶片出现氧化腐蚀。在氧化初期,消耗涂层中的Al元素,形成连续致密的氧化膜,有效保护基体。随着氧化时间增加,涂层与基体之间发生元素扩散,涂层中的O元素和Al元素向基体中扩散,导致基体中出现Al和Cr的氧化物[25]。
2.3 服役后组织损伤总结
涡轮叶片在实际服役过程中,各部位服役工况不同,导致各区域的组织演化与损伤存在一定的差别[17]。与基体呈共格关系的γ'相通过阻碍位错的正常运动,达到强化合金性能的效果,适宜的尺寸、数量和形貌将会显著提高合金的高温强度[9, 16]。服役条件较为苛刻区域的γ'相出现较为严重的退化现象,强化效果随之下降。在与γ'相有着密切联系的硬度性能上,对应部位的数值也显著低于其他部位。
同时,受制于复杂的铸造条件及服役环境的不同,叶片各部位的微观损伤类型也不同。在温度较高且多种应力集中的部位容易出现较为严重的损伤情况[10]。涡轮叶片设计中多数采用内腔冲击冷却方案,使叶片的表面和中间肋存在一定数量用于换热的冷却孔,而这也会给叶片的铸造工艺及*服役带来一定影响[20,22]。因此,涡轮叶片的设计应考虑复合因素的作用,在服役条件之外也不应忽略铸造工艺对叶片组织的影响。
3. 结论
(1)在实际服役后的涡轮叶片截面各部位均存在形状不规则的大型γ'相,在前缘和尾缘部位观察到γ'相球化现象,各部位γ'相粒子尺寸大小分布不均匀。叶片前缘、叶背凸起处和尾缘部位显微硬度值较低表明其组织演变较为严重。
(2) 叶片前缘冷却孔及内壁存在裂纹,且存在涂层表面裂纹现象。叶背凸起处,存在涂层的黏结层和外层的界面裂纹。叶背凸起处涂层下方,观察到氧化损伤区域,经过EDS分析,产物为Cr、Al的氧化物。
返回顶部